Portal Informasi Bermanfaat
Jadikan Membaca Lebih Berarti Bebas Iklan
Home
Kesehatan
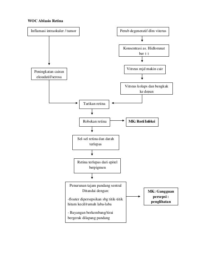
WOC ablasio retina
WOC ablasio retina
March 08, 2018
Read
Kesehatan
March 08, 2018
WOC ablasio retina
Reviewed by
Unknown
on
March 08, 2018
Rating:
5
No comments:
Subscribe to:
Post Comments ( Atom )
Labels
Kesehatan
kode BPJS
Teknologi
Idea
Ekonomi Bisnis
Travel
video
Kuliner
Update
Popular Posts
Kumpulan Judul KTI Kebidanan Terbaru Part 1
Kumpulan Judul KTI Keperawatan Terbaru part 1
Kumpulan Judul KTI Kebidanan Terbaru part 3
Demam Berdarah Dengue
Acyclovir
Cara Top Up GrabPay
Cara Cek Nomor Axis
Cara Cek Nomor Smartfren
Powered by
Blogger
.
No comments: